接插件设计中的并发开关噪声
在接插件设计的过程中,会遇到很多的问题,比如并发开关噪声就是其中一个,为了让广大用户更好的认识“接插件设计中的并发开关噪声”问题,仁昊工程师特整理了此篇内容,供您查阅。在阅读过程中,如遇到疑惑的地方,可以记录下来,向我们发送咨询邮件,会有工程师及时解答您的疑惑。

人们总是认为系统中所有的工作都是由IC来完成的,当然也包括相应的软件。而类似于IC封装、电路板、接插件、电缆以及其它的离散元器件等无源器件只会降低系统性能,扩大系统尺寸和增加系统成本。所以,系统中互连以及元器件的选择和设计实际上就是将这些成分对系统造成的影响降到最低。因此大多数的IC 设计师通常将系统中不连接的所有部分(这通常是PCB设计师所涉及的内容)归结为寄生成分这样一个笼统的范畴。
选择IC器件时,除了选择合适的元器件以外,后续的电路板布局布线工作还要符合下列设计规则:
1. 受控阻抗的PCB线;
2.分支线上的信号延时小于最快信号上升时间的20%;
3. 不连续性时间延时小于最快信号上升时间的20%;
4.相邻PCB线具有足够的间距,确保信号串扰控制在可以接受的电平上;
5. 合理的PCB分层设计确保相邻的电源和地平面层之间的介质很薄;
6.每一个信号线下面都有连续的信号返回路径。
即便PCB的布局布线做得非常好,事情仍然没有那么简单。高性能系统中的每一个成分都需要优化,确保符合整个系统在成本、性能和开发进度等方面的要求。高性能的系统设计是一个环环相扣的链,每一个环节都必须符合要求,方能保证整个系统符合产品性能规范。
系统中的其它因素将如何影响系统性能?可能的问题通常可以归结为两种类型:时序问题和噪声问题。信号完整性既包括时序问题也包括噪声问题,然而噪声问题更显突出。
互连和元器件导致的信号完整性问题的四种类型:
1. 单根网络的信号质量;
2. 两根或者更多网络之间的信号串扰;
3. 电源分布系统中的噪声;
4. 系统中元器件对外的电磁辐射。
除非特别关注,并且项目一开始就着手考虑了这些问题,否则上述四种类型的问题就会出现在高速产品中。本文将探讨接插件(也包括IC封装)的设计和选择中最难解决的问题:并发开关噪声(simultaneously switchingnoise),并且揭示并发开关噪声对高性能系统中使用的接插件和封装规格指标的影响。并发开关噪声
对接插件和IC封装来说,开关噪声方面的高速性能要求是最难满足的??卦肷粲谛藕糯?,主要是由于接插件和IC封装中相邻环路(由信号与返回路径构成)之间的互感导致的。要使开关噪声幅度最小,必须确保相邻的信号路径环路之间的互感小于一个允许的最大值。
当信号通过连接器或者IC封装传播时,信号的波前(信号波形中跳变的成分)通过信号管脚构成一个电流环路,就会耦合并且返回到信号的返回管脚上。每一个信号和对应的返回路径都可以构成一个相似的环路。在任何两个信号及其返回路径构成的环路之间都存在一个环路互感。
一个环路中的电流发生变化时,就会在另外一个静止(信号电流没有变化)的环路中感应出信号噪声。而当多个变化的信号线并发开关时,通过互感耦合到静止环路的噪声就会互相累计,因此称为“并发开关噪声”。图2所示为五个数据线并发开关时测量到的一个静止信号线上的并发开关噪声。在这个实例里,静止信号线上的噪声是由该静止环路与所有五个变化的环路之间的互感而造成的。

采用简单的模型可以很方便地估算出两个信号环路之间允许的最大互感值。进一步讨论如何计算实际接插件中相邻环路之间的互感。
当信号通过接插件的一个管脚对时,在变化的信号通路上,信号的波前处会出现信号电流的突然变化。变化的电流会导致电压噪声并且感应到相邻的静止信号环路上,这种感应是由于两个环路之间存在的互感引起的。这种静止信号线上感应出来的噪声称之为开关噪声,这是由于这种噪声只有当电压或者电流处于开关状态时才会出现。
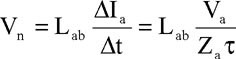
在静止环路中感应出的电压噪声可以近似为:

选择接插件或者IC封装唯一可以影响的就是环路之间的互感,而环路中信号视在阻抗通常都在50欧姆左右,该阻抗值与上升时间及信号电压一样都是系统规范的一部分。
允许的开关噪声幅度取决于噪声分配??卦肷ǔSΩ眯∮谛藕虐诜?%到10%,当然噪声的分配也取决于工程师的设计技巧,以及由谁来负责选择接插件或者IC封装。优秀的信号完整性工程师的谈判代表非常清楚:要找到一个具有足够低互感的接插件或封装将是多么的困难,所以他会尽可能地争取一个更宽松的互感指标,这样做的结果势必导致系统中其它部分的规格更加严格。
首先可以使用如下的值来开始这种估算:Vn/Va =5%,Za=50欧姆,t=0.5ns,由上述公式可计算出允许的最大互感值是1.2n
确定上述应用假设条件后,就相当于对接插件或封装的信号路径之间允许的互感值施加了约束条件。当然,在时间、成本费用以及产品风险之间权衡并且实施资源分配之前,优秀的设计工程师应该运用更加完善而全面的系统级仿真来考察究竟多大的互感可以确保设计成功,并且不会对系统造成过多的负担。因此,上面的估算仅仅是一个最初的预期值
事实上,上述估算过高地估计了允许的互感值,这是因为假设静止信号线上的噪声仅仅是由一根相邻的变化信号路径的信号变化造成的。实际的情况下,通??赡苡卸喔鲂藕怕肪恫⒎⒈浠?,其中每一个开关的信号路径都会对静止信号线产生并发开关噪声。根据接插件的设计,信号管脚之间实际允许的互感值通常只有上面估算值的一半到五分之一左右。
接插件管脚对之间或封装引线对之间的互感值为1.2nH是不是太大?我们来看一个具体的实例,就会发现1.2nH实际上是一个很小的值,而对于实际的接插件或封装需要做许多艰苦的工作才有可能减小该数值。
关于“接插件设计中的并发开关噪声”的主题就介绍到这了,更多与接插件相关的技术文档,您可以在仁昊博客频道查阅更多。如需采购电子接插件相关的产品,请拨打我们的电话:400-6263-698,专业工程师辅助您的接插件采购工作顺利进行。仁昊有着十四年的接插件生产研发经验,可以解决接插件设计环节中的各种难题,拥有完善的生产流水线,品质可靠,ISO认证,一年质保,值得信赖!
本文来源:http://m.qianxidianzi66.cn/8927.html





发表评论
想加入讨论吗?免费贡献!